熱模擬軟件簡介分析流程說明及應用實例
發布時間: 2021-08-24 瀏覽次數: 作者:邁昂科技
NETZSCH-熱模擬軟件可以模擬各種材料的熱行為。主要是應用領域包括高熱勢材料的模擬,預測熱爆炸危險,及預測如環氧樹脂固化過程中的過熱現象。
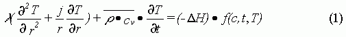
充分考慮到表面層熱損耗與反應器內部的熱傳導,選取了下列因素,做為方程中的外部邊界條件:
反應器的厚度或半徑
反應器內的初始溫度T
環境溫度Ta(做為溫度程序)
從表面層到環境的傳熱系數k
材料的導熱系數(與溫度有關系)
材料的密度(與溫度有關系)
材料的比熱Cv(與溫度有關系)
反應熱H
使用擴展形式的Thomas模型[1]來描述熱行為:

這種擴展首先牽涉到生熱函數f(cj,t,T),此處cj為表觀反應物j的濃度,t為時間,T為溫度。

應用領域實例:
環氧樹脂的固化
Zoalene(3,5-二硝基鄰甲苯酰胺)
上一篇 | 熱仿真模擬分析的應用領域 >> 返回
相關文章
-
2021-09-17
-
2022-02-10
-
2016-01-26
-
2022-01-21
-
2021-12-02
-
2021-09-26
-
2015-10-30
-
2022-02-09
-
2021-12-20

