成像亮度計原理是什么
發布時間: 2022-02-23 瀏覽次數: 作者:邁昂科技
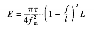
成像式亮度計工作原理如下圖1所示。

利用光度學和幾何光學的原理可以推出:

L—發光面上的亮度;
t—光學系統的透射比(透過率);
f一透鏡焦距;
l—透鏡與發光面的距離(稱為測量距離);
fm—系統相對孔徑數,fm=flD,其中D為孔徑直徑。
當系統的設計能使f/l到可忽略不計時(在某誤差范圍內),(1-f/l)2近似等于公式(1)可以化為:

公式(2)為設計成像式亮度計的基本公式。

(1)測量參數:亮度、亮度分布;
(2)測量范圍
(3)亮度精度:一級;
(4)積分時間:100ms-60s;
(5)測試距離:150mm-∞(150mm時可測量對象尺寸:約20mm×14mm);
(6)線性:≤0.2%
(7)空間均勻度:±2%
(8)16位A/D,多檔量程自動切換;
(9)采用多重曝光技術,可實現對亮度差異很大的測量對象進行準確測量;
(10)USB通訊接口及軟件;
(11)供電:交流220V,50Hz/60Hz,或直流12V。
成像亮度計適用于路面亮度、景觀照明、儀表盤亮度、顯示屏亮度、光源和發光器件、電影電視、交通信號標志、建筑、大氣光度等領域亮度的測試。
上一篇 | 光功率計多少dbm是正常范圍及應用領域 >> 返回
下一篇 | 紅外分光光度計原理及特點和主要用途
相關文章
-
2015-06-11
-
2015-05-29
-
2022-01-12
-
2022-02-24
-
2022-02-10
-
2022-02-11
-
2022-02-10
-
2022-01-05
-
2022-02-17

