發布時間: 2022-01-05 瀏覽次數: 作者:邁昂科技
現如今LED燈具光色測量的首選方法是使用積分球配合光譜分析儀的測量系統,該系統基于積分球的測量理論,通過測量球面某點的相對光譜功率分布即可計算出主波長、峰值波長、半寬度、紅色比、光通量、CCT、CRI、SDCM、Duv、X,Y等光色參數。

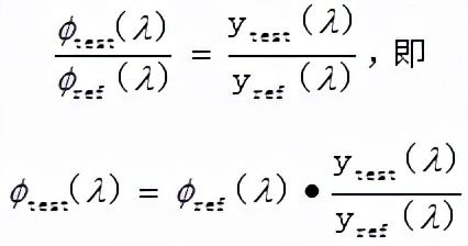
把標準燈置于積分球內并點亮,讀取標準燈的光譜數據yref(λ)
用被測樣品替換標準燈并點亮,讀取樣品燈的光譜數據ytest(λ)
因標準燈的光譜輻射通量已經通過校準獲得,依據比較法的原則,可知:

Φref(λ)-標準燈的光譜輻射通量校準值
ytest(λ)-球內安裝樣品燈時的光譜讀數
yref(λ)-球內安裝標準燈時的光譜讀數
通常LED照明產品具有光源不可拆分的特性,在積分球內測量時,其燈體或散熱部件對光線具有強烈的吸收作用,這類被測樣品對自己發射出的光線的吸收效應就稱為自吸效應。當被測樣品的尺寸和形狀與
標準燈差異較大時,積分球系統的響應常數會出現明顯變化,就可能發生測量誤差。
自吸效應是造成測量誤差最主要的原因,在實際測量中,可以采用輔助燈泡來消除這類影響。因為積分球涂層的光譜反射率是不平坦的,所以自吸效應在不同波長上呈現出差異性,因而輔助燈通常選用能發射寬帶光譜的全方向光強分布的鹵素燈泡。
IESLM-79-08得出的自吸校正系數如下式:

yaux,ref(λ):球內安裝輔助燈和標準燈,只點亮輔助燈時的光譜讀數
因而,在使用積分球光譜分析系統進行測量時,完整的光譜輻射通量計算公式如下:

Φref(λ)-標準燈的光譜輻射通量校正值
ytest(λ)-球內安裝輔助燈和樣品燈,只點亮樣品燈時的光譜讀數
yref(λ)-球內安裝輔助燈和標準燈,只點亮標準燈時的光譜讀數
α(λ)-自吸系數
-
2015-10-10
-
2015-10-12
-
2022-02-23
-
2022-02-24
-
2022-01-06
-
2015-09-08
-
2022-01-11
-
2015-08-19
-
2021-12-08

